Gerak bintang
Bintang tidak diam, tetapi bergerak di ruang
angkasa. Pergerakan bintang ini sangat sukar diikuti karena jaraknya yang
sangat jauh, sehingga kita melihat bintang seolah-olah tetap diam pada tempatnya sejak dulu hingga sekarang.
Bila diamati, bintang selalu
bergerak di langit malam, baik itu tiap jam maupun tiap hari akibat pergerakan
bumi relatif terhadap bintang (rotasi dan revolusi bumi). Walaupun begitu,
bintang sebenarnya benar-benar bergerak karena mengitari pusat galaksi, namun
pergerakannya itu sangat kecil sehingga hanya dapat dilihat dalam pengamatan
berabad-abad. Gerak semacam inilah yang disebut gerak sejati bintang. Gerak sejati biasanya diberi symbol dengan µ
dan dinyatakan dalam detik busur
pertahun. Bintang yang gerak sejatinya terbesar adalah bintang Barnard dengan µ = 10”,25
per tahun (dalam waktu 180 tahun bintang ini hanya bergeser selebar bulan purnama).
Gerak sejati bintang dibedakan
menjadi dua berdasarkan arah geraknya, yaitu:
1.
Kecepatan Radial
Kecepatan radial,
seperti telah dijelaskan sebelumnya, adalah kecepatan bintang menjauhi atau
mendekati pengamat. Kecepatan ini biasanya cukup besar, sehingga terjadi
peristiwa pergeseran panjang gelombang. Kecepatan radial bintang dapat diukur
dengan metode Efek Doppler.
Kebanyakan
gerak bintang-bintang yang dapat diaamati geraknya memiliki kelajuan yang jauh
di bawah kelajuan cahaya, sehinggi kita gunakan saja persamaan yang kedua.
Penting untuk mengetahui kecepatan bintang dan galaksi umumnya dinyatakan dalam
km/s.
2.
Kecepatan Tangensial
Kecepatan tangensial adalah kecepatan gerak bintang pada bola
langit. Misalkan pada suatu tahun, bintang tersebut berada pada α,δ sekian, namun pada tahun berikutnya posisinya berubah. Perubahan
koordinat dalam tiap tahun ini disebut proper motion (μ) yang
merupakan kecepatan sudut bintang (perubahan sudut per perubahan waktu).
Kecepatan liniernya dinyatakan dalam satuan kilometer per detik. Kecepatan
linier inilah yang dikatakan kecepatan tangensial, yang dapat dicari dengan
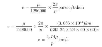
menggunakan rumus keliling lingkaran. Misal perubahan posisi bintang dari x
ke x’, yaitu sebesar μ (detik busur) setiap tahunnya. Perhatikan
gambar gerak tangensial bintang :
d (parsec) dan μ (“)
kita juga memiliki hubungan d =
1/p untuk d dalam parsec dan p dalam detik busur
Keliling = 360 º = 1296000”
Keliling = 2πd = 2π/p
dan mengingat definisi kecepatan
sudut, v = ω d, maka:
3.
Kecepatan Total
Di
atas kita telah membahas kecepatan bintang dalam arah radial dan tangensial,
sekarang kita akan mencari kecepatan total bintang, v. Karena arah sumbu
radial dan tangensial tegak lurus, maka dengan mudah kita dapat
menyelesaikannya menggunakan dalil Pythagoras atau trigonometri. Ingatlah sudut
yang dibentuk antara sumbu radial dan vektor kecepatan bintang disebut sudut β.
Gambar : diagram kecepatan total








Bila diamati, bintang selalu bergerak di langit malam, baik itu tiap jam maupun tiap hari akibat pergerakan bumi relatif terhadap bintang (rotasi dan revolusi bumi).
BalasHapusLukQQ
Situs Ceme Online
Agen DominoQQ Terbaik
Bandar Poker Indonesia
Refrensi nya dong darimana
BalasHapushttps://www.slideshare.net/millathinapu/matahari-sebagai-bintang
Hapus